LaTeX templates — Theses
LaTeX thesis templates to help you navigate an important step in your career. These thesis templates, many provided by universities as official layout guidelines, include sections to add author information, along with placeholder chapters for your introduction, background, method, results, conclusion / discussion, references, and appendices.
Seneste

Plantilla de tesis doctoral de la Universitat Rovira i Virgili (URV)

LaTeX template/modelo de TCC e Monografia para Universidade Federal do Maranhão (UFMA) 2024.

重庆医科大学平时作业课程报告和小论文模板,欢迎使用。This template is used for class reports and essays in CQMU, welcome to use.

这是南京师范大学研究生毕业论文模板的参考格式,按照论文格式规范进行编写的latex模板,可能会存在错误,请自行使用。

Thesis LaTeX Template

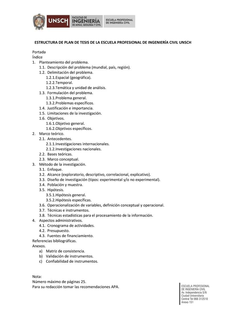
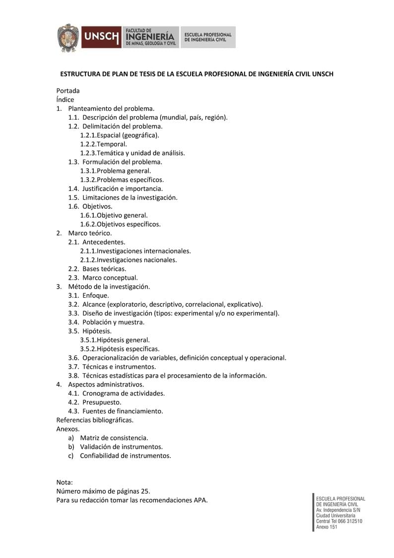
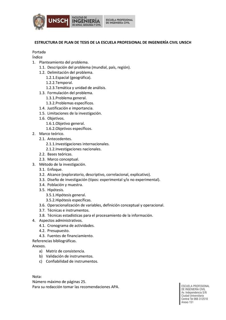
Plantilla para realizar el plan de tesis de la escuela de Ingeniería Civil de la UNSCH

Template for the BSc/MSc in computer engineering report at the Center for Applied Autonomous Sensor Systems (AASS), Örebro University.

Template for the MAADM Master Thesis projects Adapted from: UPM_thesis_template_en, by María Blanco https://www.overleaf.com/latex/templates/upm-thesis-template-en/nzjnspqsxfmm

Plantilla oficial para la realización del TFM, en castellano. Adpatada de la plantilla "UPM_thesis_template_en", de María Blanco https://www.overleaf.com/latex/templates/upm-thesis-template-en/nzjnspqsxfmm
Relaterede tags
- Portuguese
 - Purdue University
 - Bosnian
 - International Languages
 - Math
 - References
 - University
 - Biber
 - BibLaTeX
 - Czech
 - Universiti Utara Malaysia
 - Conference Paper
 - Harvard University
 - Tutorial
 - Source Code Listing
 - Swedish
 - French
 - Portuguese (Brazilian)
 - Greek
 - Getting Started
 - Cover Letter
 - Essay
 - Title Page
 - Spanish
 - German
 - Radboud University
 - Technological Educational Institute of Peloponnese
 - LuaLaTeX
 - Université d'Avignon
 - Universiti Malaysia Sarawak
 - Universiti Malaysia Perlis
 - Assignments
 - Cambridge University
 - Instituto Federal de Educação Ciência e Tecnologia (IFCE)
 - Imperial College London
 - Korean
 - Norwegian
 - Polish
 - University of Bergen
 - Boise State University
 - Bristol University
 - Finnish
 - Tampere University of Technology (TUT)
 - Universiti Sains Malaysia
 - Multimedia University (MMU)
 - Beamer
 - Universiti Malaya
 - XeLaTeX
 - Arabic
 - University of Sarajevo
 - Universiti Kebangsaan Malaysia
 - Bahasa Malaysia (Malay)
 - Two-column
 - Queen Mary University of London
 - Romanian
 - Universiti Putra Malaysia
 - Zagazig University
 - Monterrey Institute of Technology and Higher Education
 - Universiti Teknologi Malaysia
 - University of Helsinki
 - University of Copenhagen
 - Reykjavík University
 - University of Reading
 - Universidad Nacional Autónoma de México
 - Peking University
 - Universidad de Costa Rica
 - Books
 - Presentations
 - Reports
 - Japanese
 - Tilburg University
 - Universidade Tecnológica Federal do Paraná (UTFPR)
 - Cologne University of Applied Sciences (Fachhochschule Köln)
 - Kyushu University
 - Slovenian
 - University of Manchester
 - Federal University of Bahia
 - University of Tokyo
 - Universidade Federal do Rio Grande do Sul
 - Technion - Israel Institute of Technology
 - Vietnamese
 - Özyeğin University
 - Keio University
 - Stanford University
 - Chinese
 - Thai
 - Universidade de Lisboa
 - Brown University
 - Princeton University
 - New York University (NYU)
 - Pontifícia Universidade Católica de Minas Gerais (PUC)
 - Indian Institute of Technology Madras
 - Universidade de São Paulo
 - Uppsala University
 - Universidade Estadual Paulista (UNESP)
 - Wright State University
 - Catalan
 - Instituto de Ciências Matemáticas e de Computação (USP)
 - Strathmore University
 - University of Porto
 - Auburn University
 - University of Burgundy
 - University of Girona
 - Heriot-Watt University
 - Florida State University
 - Hebrew
 - Tel Aviv University
 - McMaster University
 - Åbo Akademi University
 - Faculdades Integradas Espírito-Santenses (FAESA)
 - University of California, San Diego
 - Universidad Nacional de Asunción
 - Pontificia Universidad Católica de Chile
 - Meeting Minutes
 - Universidade Estadual de Ponta Grossa (UEPG)
 - Russian
 - Universidade Nova de Lisboa (UNL)
 - Research Proposal
 - Universidad Tecnológica de Bolívar
 - Technische Universität Berlin
 - University of Utah
 - Universidad de Santiago de Chile
 - Lecture Notes
 - Instituto de Astronomia, Geofísica e Ciências Atmosféricas (IAG/USP)
 - Aalborg University
 - Instituto de Matemática e Estatística (IME-USP)
 - Dutch
 - University of Birmingham
 - Ben-Gurion University of the Negev
 - University of Amsterdam
 - Instituto Superior de Engenharia de Lisboa (ISEL)
 - University of California, Berkeley
 - Southeast University
 - KTH Royal Institute of Technology
 - Sapienza - Università di Roma
 - Universidade do Estado do Rio de Janeiro
 - Icelandic
 - Universidade Federal de Ouro Preto
 - Astronomy & Astrophysics
 - Masaryk University
 - abnTeX
 - Cornell University
 - Lund University
 - Aberystwyth University
 - Universidad Autónoma de Yucatán
 - California Institute of Technology (Caltech)
 - University of York
 - Université de Sfax
 - Katholieke Universiteit Leuven (KU Leuven)
 - Virginia Tech
 - Universiti Pertahanan Nasional Malaysia
 - Universidade Federal Rural de Pernambuco
 - Charles University in Prague (Univerzita Karlova v Praze)
 - CERN
 - Humanities
 - Universidad de Sevilla
 - Queensland University of Technology
 - Bahasa Indonesia
 - University of Strathclyde
 - Eskişehir Osmangazi University
 - Universidade Estadual de Feira de Santana
 - Turkish
 - Universidade Federal de Santa Catarina
 - Tecnológico Nacional de México
 - Politechnika Śląska (Silesian University of Technology)
 - Universidade Federal de Goiás
 - Sungkyunkwan University
 - University of Victoria
 - University of Alabama
 - Duke University
 - University of Bath
 - RMIT
 - TU Delft
 - University of Ljubljana
 - German University in Cairo
 - Memorial University
 - Instituto Superior de Engenharia do Porto
 - Technische Universität Wien
 - Linköpings Universitet
 - University of Banja Luka
 - Bangladesh University of Engineering and Technolog
 - Ukrainian
 - University of the West of England Bristol
 - Fachhochschule der Wirtschaft
 - Johns Hopkins
 - Universidade de Fortaleza
 - Université Laval
 - Universidade do Vale do Rio dos Sinos
 - Universidad Católica San Pablo
 - Universidad Nacional de Colombia (UNAL)
 - University of Twente
 - National University of Singapore (NUS)
 - Universidad de Chile
 - Universidade de Brasília (UnB)
 - National Institute of Technology
 - Birla Institute of Technology and Science
 - Universidad Tecnológica Nacional
 - University of Ghent (Universiteit Gent)
 - Universidade Federal do Rio de Janeiro
 - Tsinghua University
 - Swiss Federal Institute of Technology in Zurich (ETH Zürich)
 - Chicago
 - University of Maryland Baltimore County
 - Universidade Federal da Paraíba (UFPB)
 - Politecnico di Milano
 - Boğaziçi University
 - University of Applied Sciences Upper Austria (FH Oberösterreich)
 - Leiden University
 - Universidade Federal do Rio Grande do Norte (UFRN)
 - Slovak
 - Eastern Mediterranean University (EMU)
 - Universidad La Salle (Mexico)
 - Universidade Federal de Santa Maria
 - University of Pennsylvania
 - Universidad Zaragoza
 - Universidade Paulista
 - Georgia State University (GSU)
 - University of Toledo
 - Universidade Federal do Piauí (UFPI)
 - Universiti Malaysia Sabah
 - Faculdade do Piauí (FAPI)
 - University of Texas San Antonio
 - Queen's University, Canada
 - Centro Federal de Educação Tecnológica de Minas Gerais (CEFET-MG)
 - Universidade Federal do Triângulo Mineiro
 - University of Nottingham
 - University of Arizona
 - Fundação de Amparo à pesquisa do Estado de São Paulo (FAPESP)
 - Hungarian
 - TU Graz
 - University of Pretoria
 - Italian
 - University of Iceland
 - University of Illinois
 - Nanyang Technological University
 - Guangdong University of Technology
 - Universidade do Minho
 - East China Normal University
 - Ludwig Maximilian University of Munich
 - University of Essex
 - Fachhochschule St. Pölten (St. Pölten University of Applied Sciences)
 - University of Florida
 - University of Calgary
 - Instituto Nacional de Pesquisas Espaciais
 - University of Western Australia
 - University of Shanghai for Science and Technology (USST)
 - Turabian
 - University of Seoul
 - Pacific University
 - Bangor University
 - Universidade Federal de Uberlândia (UFU)
 - Univerzita Palackého v Olomouci (Palacký University Olomouc)
 - Örebro University
 - Indian Institute of Technology Kharagpur
 - University College London
 - IT University of Copenhagen
 - Eindhoven University of Technology (TU/e)
 - Escola Politécnica da USP
 - Universidade Estadual de Campinas (UNICAMP)
 - Instituto Politécnico de Bragança (IPB)
 - Escuela Politécnica Nacional
 - Florida Institute of Technology
 - Salahaddin University-Erbil
 - Massey University
 - University of Queensland
 - Xi'an Jiaotong University
 - Université de Bretagne Occidentale (UBO)
 - University of Electronic Science and Technology of China
 - Czech Technical University in Prague
 - Instituto Federal de Educação, Ciência e Tecnologia da Bahia
 - Otto-von-Guericke-Universität Magdeburg
 - Arizona State University (ASU)
 - Universidad de Antioquia
 - Boston University
 - Universidad Autónoma de Nuevo León
 - University of Virginia
 - University of Michigan
 - VIT University
 - Universidade Federal de Juiz de Fora
 - Universidade Federal de Minas Gerais (UFMG)
 - University of Illinois at Chicago
 - Stockholm University
 - Farsi (Persian)
 - Universidade Federal de Itajubá (Unifei)
 - University of Science and Technology of China (USTC)
 - Vrije Universiteit Brussel (VUB)
 - Universidad Autónoma de San Luis Potosí (UASLP)
 - Universitat Pompeu Fabra
 - Universidad Politécnica de Puebla
 - University of Waterloo
 - SGH Warsaw School of Economics
 - Harbin Institute of Technology
 - Università degli studi di Napoli Federico II
 - Aalto University
 - University of Warwick
 - North Dakota State University (NDSU)
 - Universidade Federal do Pará (UFPA)
 - University Teknology PETRONAS (UTP)
 - University of Edinburgh
 - Universität Ulm
 - University of Leeds
 - North Carolina State University (NCSU)
 - Politecnico di Torino
 - Ritsumeikan University
 - University of Newcastle
 - University of Malta
 - Iran University of Science and Technology (IUST)
 - University of New South Wales
 - Michigan Technological University
 - Oregon State University
 - University of Passau
 - Università di Pisa
 - Universidade da Coruña (UDC)
 - University of Athens
 - Trinity College Dublin
 - Universidade Estadual de Santa Cruz
 - University of Vienna
 - University College Dublin
 - Universidade da Beira Interior (UBI)
 - National University of Mongolia
 - Universidad Andres Bello
 - Universidad de Córdoba
 - University of Bonn
 - University of Pittsburgh
 - University of Central Florida
 - Universidad Simón Bolívar
 - Universidad de Oviedo
 - Maastricht University
 - University of Southampton
 - Texas A&M University
 - University Jaume I
 - UPV/EHU
 - University of Jyväskylä
 - Singapore University of Technology and Design (SUTD)
 - Universidad de Cádiz
 - FH Aachen
 - University of Innsbruck
 - American University of Beirut
 - New Mexico State University (NMSU)
 - Instituto Federal de São Paulo
 - Universidad de Extremadura
 - TU Darmstadt
 - Cairo University
 - Universidad de Ingeniería y Tecnología
 - Luleå University of Technology
 - Università degli Studi di Trento
 - Dublin Business School
 - Gyeongsang National University
 - University of East London
 - Creighton University
 - ShanghaiTech University
 - Universidade Federal do Ceará
 - Universidade Federal de Pernambuco (UFPE)
 - Universidad del Valle de Guatemala
 - Augsburg University
 - Instituto Tecnológico de Tuxtla Gutiérrez
 - Università degli Studi del Sannio
 - Žilinská univerzita v Žiline
 - University of Hawaii
 - Mississippi State University
 - Instituto Tecnológico Autónomo de México
 - Ohio State University
 - Universidad Católica de la Santísima Concepción
 - Technical University of Munich
 - Kyungpook National University
 - Universidade Federal do ABC
 - Universidade de Trás-os-Montes e Alto Douro
 - Pontifícia Universidade Católica do Rio de Janeiro
 - National Institute of Technology, Kurukshetra
 - Khalifa University
 - Hasso-Plattner Institute
 - Yale University
 - Chalmers University of Technology
 - Universidade Estadual da Região Tocantina do Maranhão
 - Shanghai University of International Business and Economics
 - Universidad Complutense de Madrid
 - Centro Universitário da Grande Dourados
 - Universidade Estadual do Ceará
 - Dublin Institute of Technology
 - Université Paul Valéry Montpellier 3
 - Beijing University of Posts and Telecommunications
 - University of Würzburg
 - Curtin University
 - Université de Neuchâtel
 - University of the Balearic Islands
 - University at Buffalo
 - Universidad de Alicante
 - Universidad Nacional del Callao
 - Ho Chi Minh City University of Technology
 - Friedrich-Alexander University Erlangen-Nürnberg
 - Saint Martin's University
 - University of Agder
 - Alexandru Ioan Cuza University
 - Fudan University
 - Universidad de Murcia
 - Westfälische Hochschule
 - Sveučilište u Rijeci (University of Rijeka)
 - Georgia Institute of Technology
 - University of Sydney
 - Escola Tècnica Superior d’Enginyeria Industrial de Barcelona
 - Utrecht University
 - University of Oslo
 - Universidad del Valle
 - University of Cologne
 - Emory University
 - Norwegian School of Economics
 - Northumbria University
 - Huazhong University of Science and Technology
 - Dublin City University
 - Universidad Autónoma de Ciudad Juárez
 - Universidad de Castilla - La Mancha
 - Universidad Distrital Francisco José de Caldas
 - Tampere University (TUNI)
 - Beijing Institute of Technology
 - Washington State University
 - Technical University of Denmark
 - Universitas Indonesia
 - Erciyes University
 - Middle East Technical University
 - Université du Québec à Montréal
 - Okinawa Institute of Science and Technology
 - George Washington University
 - Yachay Tech University
 - Manipal Institute of Technology
 - University of Glasgow
 - Jordan University of Science and Technology
 - Aix-Marseille Université
 - Taylor's University
 - Ahsanullah University of Science and Technology
 - Iowa State University
 - University of Iowa
 - Universität Rostock
 - Gwangju Institute of Science and Technology
 - Zhejiang University
 - Lanzhou University
 - Kookmin University
 - Universidade Federal do Paraná
 - University of Groningen
 - University of Durham
 - University of Liverpool
 - Latvian
 - Abertay University
 - ENS Paris Saclay
 - Politehnica University of Timișoara
 - Mongolian
 - National Institute of Technology Rourkela
 - University of L'Aquila
 - University of Delaware
 - HTL Pinkafeld
 - University of Economics, Prague
 - Aristotle University of Thessaloniki
 - Nanjing University of Posts and Telecommunications
 - University of Melbourne
 - Universidade Federal dos Vales do Jequitinhonha e Mucuri
 - National Taiwan University of Science and Technology
 - City University of Hong Kong
 - École Polytechnique Fédérale de Lausanne
 - Hochschule Furtwangen University
 - University of Lincoln
 - Northwestern University
 - University of Oxford
 - Università Politecnica delle Marche
 - Vanderbilt University
 - Technical University Dublin
 - Khulna University
 - McGill University
 - Brno University of Technology
 - Universität Duisburg-Essen
 - Instituto Nacional de Telecomunicações (INATEL)
 - Northeastern University
 - University of New Mexico
 - Akdeniz University
 - Information Technology University (ITU)
 - Universidad Católica del Norte en Antofagasta
 - Universidad Tecnológica de Pereira
 - Massachusetts Institute of Technology
 - Universidad de Concepción
 - Stellenbosch University
 - Universidad Internacional de la Rioja
 - Shanghai Jiao Tong University
 - Hochschule Darmstadt
 - TOBB University of Economics & Tchnology
 - Warsaw University of Technology
 - University of Alberta
 - Universiti Teknologi MARA (UiTM)
 - Norwegian University of Science and Technology
 - Poznán University of Economics and Business
 - Uniwersytet Pedagogiczny
 - Universidad Nacional del Altiplano
 - Universidade Federal de São Paulo
 - Universidad Central de Venezuela
 - ICONTEC
 - University of Málaga
 - University of Surrey
 - Kyoto University
 - Skolkovo Institute of Science and Technology
 - Cyprus University of Technology
 - University of North Carolina at Charlotte
 - Università Roma Tre
 - Fatih Sultan Mehmet Foundation University
 - Xiamen University
 - Wuhan University
 - Karlsruhe Institute of Technology
 - Chulalongkorn University
 - Università degli Studi di Salerno
 - Univerza v Mariboru
 - Universidade da Coruña
 - University of California, Irvine
 - Open University of Israel
 - University of Southern Denmark
 - Tokyo Metropolitan University
 - Instituto Tecnológico de Morelia
 - University of West Attica
 - Mid Sweden University
 - University of Macau
 - University of Chinese Academy of Sciences
 - University of Stuttgart
 - Jagiellonian University
 - Centro Federal de Educação Tecnológica de Rio de Janeiro (CEFET-RJ)
 - Pontificia Universidad Católica del Perú
 - Eötvös Loránd University
 - Universidade Estadual de Londrina
 - University of Idaho
 - National Taiwan University
 - Taras Shevchenko National University of Kyiv
 - Edinburgh Napier University
 - Universidad Nacional de Ingeniería
 - Nankai University
 - TU Dortmund
 - Colorado School of Mine
 - Poznan University of Technology
 - Università della Calabria
 - Hakim Sabzevari University
 - Stony Brook University
 - Università di Padova
 - Shanghai University of Finance and Economics
 - Georgia Southern University
 - Politehnica University of Bucharest
 - Universidade Federal de Pelotas
 - Mälardalen University
 - Hamad Bin Khalifa University
 - Universidade Federal do Amazonas
 - Institut de physique du globe de Paris
 - Qatar University
 - Universidade Federal do Maranhão
 - Albert-Ludwigs-Universität Freiburg
 - Universidad de Buenos Aires
 - Dalian Maritime University
 - Coventry University
 - Universidad Nacional Pedro Ruiz Gallo
 - University of Limerick
 - Tallinn University of Technology
 - National Sun Yat-sen University
 - Hong Kong University
 - Universidad Central del Ecuador
 - University of Lancaster
 - TU Ilmenau
 - Masters Thesis
 - Karlstad University
 - Univerzita Hradec Králové
 - Hochschule Heilbronn
 - University of Zurich
 - Basque
 - Brunel University
 - LUT University
 - Universidad Politécnica de Madrid
 - University of Szeged
 - University of Patras
 - University of Tsukuba
 - APJ Abdul Kalam Technological University
 - Universiti Teknikal Malaysia Melaka
 - University of Warsaw
 - International Hellenic University
 - Saarland University
 - IIT Bhubaneswar
 - Instituto Politécnico Nacional
 - IST Austria
 - Chinese Southern University
 - HSLU
 - IIT Delhi
 - University of Tartu
 - Air Force Institute of Technology
 - Deakin
 - Pontificia Universida Javeriana
 - Instituto de Pesquisas Tecnológicas (IPT)
 - Brussels Faculty of Engineering
 - Ahsanullah University of Science and Technology
 - IISER Thiruvananthapuram
 - University of Liechtenstein
 - University of Dayton
 - ENS Lyon
 - University of Windsor
 - King Abdullah University of Science and Technology
 - University of Thessaly
 - Brigham Young University
 - Isra University
 - Università di Foggia
 - University of Münster
 - Indiana University
 - University of Puerto Rico
 - Howard University
 - Monash University
 - University of Rochester
 - UW Madison
 - UC3M
 - Universidad Carlos III de Madrid
 - Université de Lille
 - University of Toronto
 - University of Chicago
 - Chinese University of Hong Kong
 - Universidad Técnica Particular de Loja
 - Universidad de La Laguna
 - IIT Patna
 - Université Paris-Saclay
 - Hanoi University of Science and Technology
 - Sofia University
 - Brandeis University
 - Universidade Federal do Rio Grande
 - COMSATS University Islamabad
 - University of Washington
 - Universidade Federal do Espírito Santo
 - Programa de Pós-Graduação em Engenharia Elétrica
 - Somaiya Vidyavihar University
 - Hunan University
 - Bulgarian
 - Federal University of Viçosa
 - Instituto Federal do Pará
 - South China Normal University
 - Malmö University
 - Beijing Forestry University
 - UNIVERSIDADE ESTADUAL VALE DO ACARAÚ
 - Seoul National University
 - Williams College
 - Jinan University
 - Université Paris Nanterre
 - Instituto Federal do Rio de Janeiro
 - Sergio Arboleda University
 - Normandie Université
 - National Tsing Hua University
 - University of Engineering & Technology Lahore
 - Nitte Meenakshi Institute of Technology
 - University of Cantabria
 - Vrije Universiteit Amsterdam
 - Yonsei University
 - Jiangxi Normal University
 - University of Kentucky
 - Universidad ECCI
 - Universidad Nacional de Moquegua
 - National Cheng Kung University
 - University of British Columbia
 - University of Durham
 - Hong Kong Polytechnic University
 - Anna University
 - OSU Official
 - Université de Mons
 - Erasmus School of Economics
 - Hong Kong University of Science and Technology
 - University of Djelfa
 - Université Paris Cité
 - La Trobe University
 - Southern Methodist University
 - Université libre de Bruxelles (ULB)
 - Galician
 - Bibliographies
 
\begin
Discover why over 20 million people worldwide trust Overleaf with their work.