LaTeX templates — Journal articles
Discover a wide range of academic journal LaTeX templates for articles and papers which automatically format your manuscripts in the style required for submission to that journal.
Seneste

A Latex template for the preparation of IAU Symposia Proceedings downloaded from http://www.iau.org/static/scientific_meetings/authors/. The package contains: Class File (iau.cls), Instructions, a Sample PDF and a Sample TeX file

Author template for Manufacturing & Service Operations Management (msom) Mirko Janc, Ph.D., INFORMS, mirko.janc@informs.org ver. 0.95, December 2010

LaTeX template to be used for submitting an accepted paper for final production in the JSI.

This template is for the scientific journal "Trudy MAI" and Moscow Aviation Institute.

This template is for preparing publications for The International Journal of Universal Computer Science, https://lib.jucs.org/ Submission will only be dealt with if your paper is written in flawless English and is formatted according with the J.UCS Style Guide; Please follow carefully the Submission Guidelines https://lib.jucs.org/about#AuthorGuidelines

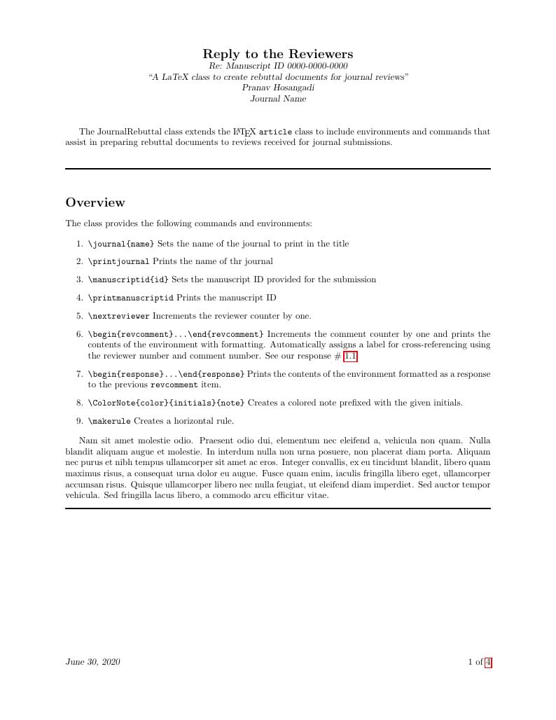
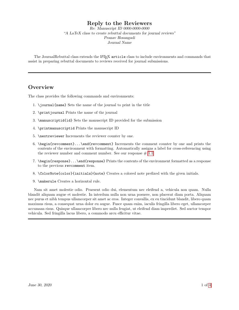
A template for writing rebuttal letters to reviews for journal submissions. Github repository: https://github.com/pranavh/JournalRebuttal_LaTeX/

Shape Symposium 2015 Template LaTeX Template Version 1.5 (18/5/15). This template has been downloaded from: http://www.LaTeXTemplates.com Original author: Frits Wenneker (http://www.howtotex.com) Modified by Michael Kistler (mr.kistler@gmail.com) License: CC BY-NC-SA 3.0 (http://creativecommons.org/licenses/by-nc-sa/3.0/)

Author template for Organization Science (orsc) Mirko Janc, Ph.D., INFORMS, mirko.janc@informs.org ver. 0.95, December 2010

Author template for Marketing Science (mksc) Mirko Janc, Ph.D., INFORMS, mirko.janc@informs.org ver. 0.95, December 2010
\begin
Discover why over 25 million people worldwide trust Overleaf with their work.