overleaf skabelonsgalleriLaTeX templates and examples — Recent
Opdag LaTeX skabeloner og eksempler til at hjælpe med alt fra at skrive en artikel til at bruge en specifik LaTeX pakke.

PSI proposal template for combined Bernina/ ADDAMS applications.

This is a template for research articles in journal "Modern Stochastics: Theory and Applications". This template was obtained from: https://www.vmsta.org/journal/VMSTA

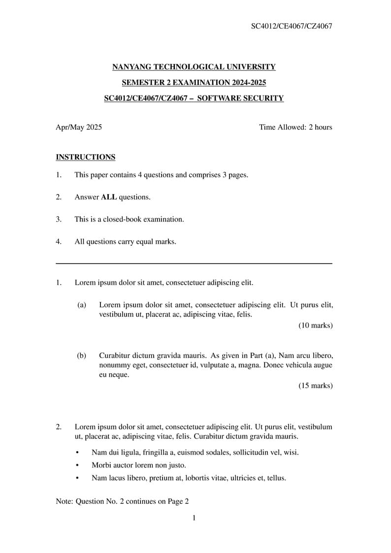
This project provides a LaTeX template for typesetting exam papers, which conform with the formatting guideline of the Nanyang Technological University (NTU). GitHub Repo: https://github.com/liyistc/ntu-exam

This template contains instructions and formatting for authors wishing to submit a manuscript to the McGill Science Undergraduate Research Journal (MSURJ) in LaTeX. Authors can write in the template by clicking on the Open as Template button, above. Please visit https://msurjonline.mcgill.ca/about/submissions for more information on submitting to MSURJ.

English template for Lithuanian Journal of Statistics. https://www.journals.vu.lt/statisticsjournal

Modelo de Apresentação do Laboratório de Inovação, Pesquisa e Engenharia de Software (LIPES) - IF Sudeste MG - Campus Manhuaçu

Template for Informatica journal. https://informatica.vu.lt/journal/INFORMATICA

Lithuanian template for Lithuanian Journal of Statistics. https://www.zurnalai.vu.lt/LMR

National College of Ireland MSc Project Report Template
\begin
Discover why over 25 million people worldwide trust Overleaf with their work.